二次积分转化为极坐标形式的相关问题,含区域及题目解析
专业炒股配资门户:把下列二次积分转化为极坐标形式下的二次积分请帮忙给出正确答案和分析,谢谢!
<淘配网>二次积分转化为极坐标形式的相关问题,含区域及题目解析淘配网>
更多“把下列二次积分转化为极坐标形式下的二次积分”相关的问题
第1题
把积分化为极坐标形式的二次积分,其中积分区域D为:
把积分
化为极坐标形式的二次积分,其中积分区域D为:

点击查看答案
第2题
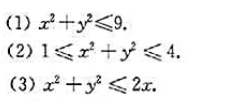
画出积分区域,把积分dxdy化为极坐标形式的二次积分二次积分转化为极坐标形式的相关问题,含区域及题目解析,其中积分区域D是:(1)x2+y2≤2x;
画出积分区域,把积分dxdy化为极坐标形式的二次积分,其中积分区域D是:(1)x2+y2≤2x;
画出积分区域,把积分
dxdy化为极坐标形式的二次积分,其中积分区域D是:
(1)x2+y2≤2x;
(2)x2≤y≤1,0≤x≤1。
点击查看答案
第3题
化下列二次积分为极坐标形式的二次积分:
点击查看答案
第4题
画出积分区域,把积分表示为极坐标形式的二次积分,其中积分区域D是:(1){(x,y)|x2+y2
画出积分区域,把积分表示为极坐标形式的二次积分,其中积分区域D是:(1){(x,y)|x2+y2
画出积分区域,把积分
表示为极坐标形式的二次积分,其中积分区域D是:
(1){(x,y)|x2+y2≤a2}(a>0);
(2){(x,y)|x2+y2≤2x};
(3){(x,y)|a2≤x2+y2≤b},其中0
(4){(x,y)|0≤y≤1-x,0≤x≤1}.
点击查看答案
第5题

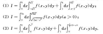
改换下列二次积分的积分次序:(2) (4) (5)
改换下列二次积分的积分次序:(2) (4) (5)
改换下列二次积分的积分次序:
(2)
(4)
(5)
点击查看答案
第6题
改换二次积分的积分次序。
改换二次积分
的积分次序。
点击查看答案
第7题
计算下列二重积分:(化为二次积分时注意两种积分次序中有一种可以计算出这个二重积分.)
计算下列二重积分:(化为二次积分时注意两种积分次序中有一种可以计算出这个二重积分.)
计算下列二重积分:

(化为二次积分时注意两种积分次序中有一种可以计算出这个二重积分.)
点击查看答案
第8题
二重积分化为二次定积分后二次积分转化为极坐标的方法,其上限是否可以小于下限?
点击查看答案
第9题
设f(x,y)是连续函数,改变下列二次积分的顺序:
设f(x,y)是连续函数,改变下列二次积分的顺序:

点击查看答案
股票配资属于高风险投资行为,可能导致本金亏损。投资者应充分了解市场风险,根据自身财务状况及风险承受能力谨慎决策。本文链接:http://wwww.elkanu.com/html/zhuanyechaogupeizimenhu/1148.html


